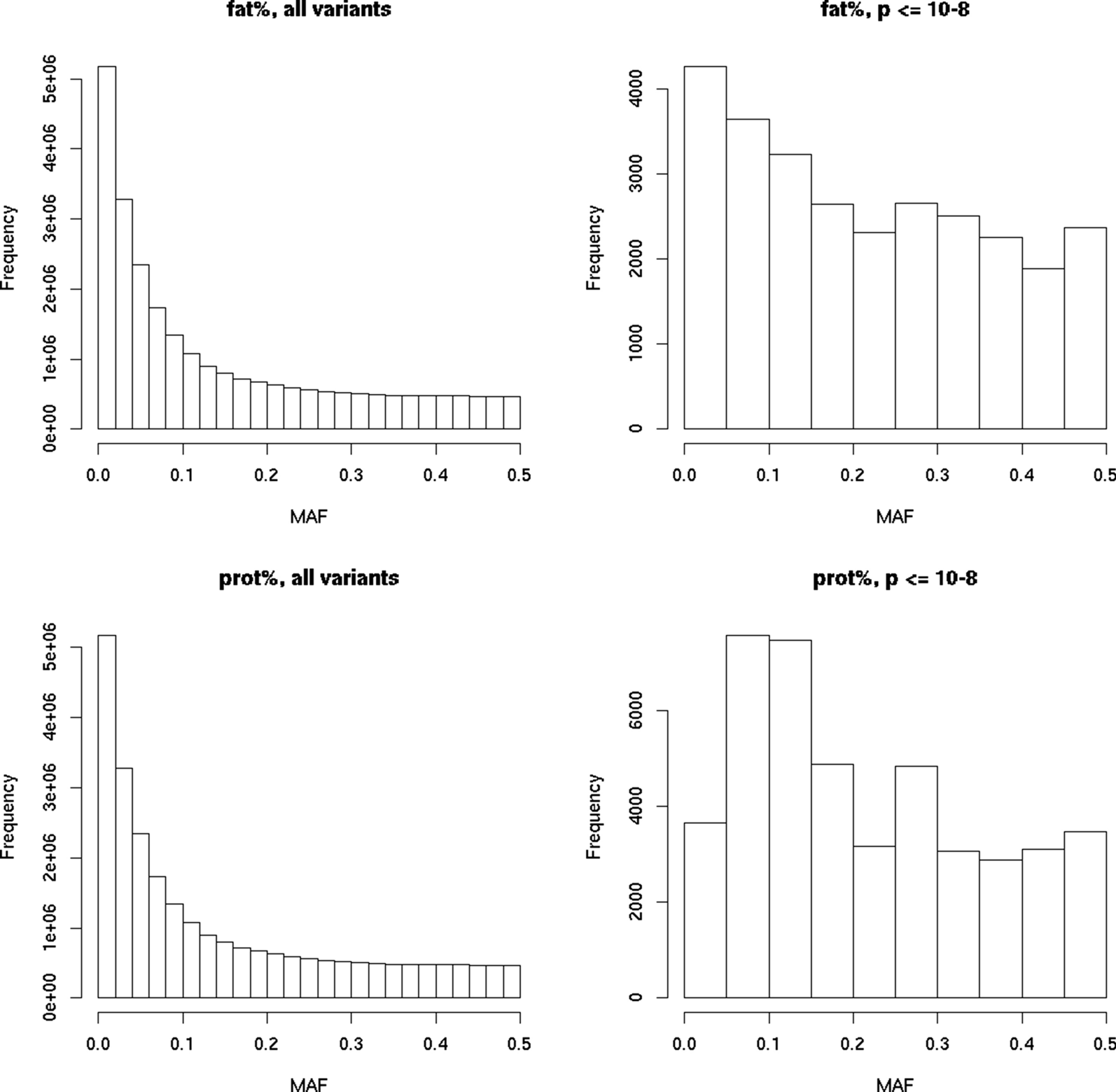
Fig. 3From: Meta-analysis for milk fat and protein percentage using imputed sequence variant genotypes in 94,321 cattle from eight cattle breedsDistribution of minor allele frequencies (MAF) of all variants and significant variants. Significant variants had a p-value ≤ 10−8 in the meta-analysisBack to article page